SOLUTION: an orchard operator must dilute 11 quarts of 60% insecticide solution by adding water. How many quarts of water should be added to get a mixture that is 2% insecticide?
Algebra ->
Customizable Word Problem Solvers
-> Mixtures
-> SOLUTION: an orchard operator must dilute 11 quarts of 60% insecticide solution by adding water. How many quarts of water should be added to get a mixture that is 2% insecticide?
Log On
Question 127775: an orchard operator must dilute 11 quarts of 60% insecticide solution by adding water. How many quarts of water should be added to get a mixture that is 2% insecticide? Answer by josmiceli(19441) (Show Source):
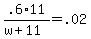
You can put this solution on YOUR website! In words,
(amount of insecticide)/(water added + original solution) = .02
Let = water to be added
319 quarts of water need to be added
check:
OK