Question 1179017: Write the equation given information:
Hole when x=-2
Horizontal asymptote y=0
Vertical asymptote x=0, x=-5
x-intercept (3,0)
Answer by MathLover1(20850) (Show Source):
You can put this solution on YOUR website!
Write the equation given information:
Hole when 
Horizontal asymptote 
Vertical asymptote , 
x-intercept ( , )
A rational function is one such that , where ≠ ; the domain of a rational function can be calculated.
given: hole when 
The hole means that the numerator and denominator are both zero at 
-> numerator P(x) must have as a factor
given horizontal asymptote
If the degree of the numerator is less than the degree of the denominator, then the horizontal asymptote is always the axis, i.e. the line
=>so,
Vertical asymptotes occur at singularities of a rational function, or points at which the function is not defined. They only occur at singularities where the associated linear factor in the denominator remains after cancellation.
since given vertical asymptote , , you have denominator
given x-intercept ( , ), so numerator have
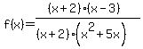
so , your function is:
|
|
|