SOLUTION: A particle is moving around the ellipse 4x^2+16y^2 = 64. At any time t its x and y coordinates are given by x = 4cos(t) and y = 2sin(t). At what rate is the particle's distance to

Algebra ->  Customizable Word Problem Solvers  -> Misc -> SOLUTION: A particle is moving around the ellipse 4x^2+16y^2 = 64. At any time t its x and y coordinates are given by x = 4cos(t) and y = 2sin(t). At what rate is the particle's distance to       Log On

Ad: Over 600 Algebra Word Problems at edhelper.com


   



Question 994014: A particle is moving around the ellipse 4x^2+16y^2 = 64. At any time t its x and y coordinates are given by x = 4cos(t) and y = 2sin(t). At what rate is the particle's distance to the origin changing when t = π/4?
I know this is a related rates problem. But I don't know how to set this problem up in order to solve.
Thank you

Answer by KMST(5346) About Me  (Show Source):
You can put this solution on YOUR website!
I would think this is a calculus problem.
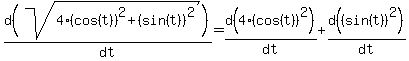
The distance to the origin as a function of t (time) is

The function showing the rate of change at time t is
dD%2Fdt , and it can be calculated using the chain rule
D%28t%29=2%2AF%28G%28t%29%29 with F%28u%29=sqrt%28u%29=u%5E%28%221%2F2%22%29 and u=G%28t%29=4%28cos%28t%29%29%5E2%2B%28sin%28t%29%29%5E2
dF%2Fdu=%281%2F2%29u%5E%28%22-1%2F2%22%29=1%2F%282u%5E%28%221%2F2%22%29%29=1%2F2sqrt%28u%29 , and

Applying the chain rule again, and again, to both terms:
and
.
So, , and
.
Substituting the expression for u ,

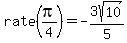
For t=pi%2F4 ,
t=pi%2F4-->-->-->
-->rate%28pi%2F4%29=%28-6%282%2F4%29%29%2Fsqrt%284%282%2F4%29%2B%282%2F4%29%29%29%29-->rate%28pi%2F4%29=-3%2Fsqrt%285%2F2%29-->rate%28pi%2F4%29=-3sqrt%282%29%2Fsqrt%285%29-->rate%28pi%2F4%29=-3sqrt%2810%29%2F5