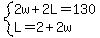
SOLUTION: a rectangle has a perimeter of 130 ft. the length is 2 more feet than twice the width. find the length and width
Algebra
->
Customizable Word Problem Solvers
->
Misc
-> SOLUTION: a rectangle has a perimeter of 130 ft. the length is 2 more feet than twice the width. find the length and width
Log On
Ad:
Over 600 Algebra Word Problems at edhelper.com
Word Problems: Miscellaneous Word Problems
Word
Solvers
Solvers
Lessons
Lessons
Answers archive
Answers
Click here to see ALL problems on Miscellaneous Word Problems
Question 981850
:
a rectangle has a perimeter of 130 ft. the length is 2 more feet than twice the width. find the length and width
Answer by
josgarithmetic(39625)
(
Show Source
):
You can
put this solution on YOUR website!
Simplify the perimeter equation, and then simple substitution.