SOLUTION: if a point is randomly selected inside a 1'x1' square, what is the probability that it will be less than 6" from the center of the square? express your answer in terms of pi

Algebra ->  Customizable Word Problem Solvers  -> Misc -> SOLUTION: if a point is randomly selected inside a 1'x1' square, what is the probability that it will be less than 6" from the center of the square? express your answer in terms of pi      Log On

Ad: Over 600 Algebra Word Problems at edhelper.com


   



Question 981484: if a point is randomly selected inside a 1'x1' square, what is the probability that it will be less than 6" from the center of the square? express your answer in terms of pi
Answer by macston(5194) About Me  (Show Source):
You can put this solution on YOUR website!
The area of the square is (12" x 12") 144in^2.
The points within 6" of the center are in the area of a cirle with radius 6":
area=%28pi%29%286in%29%5E2=36%28pi%29in%5E2
.
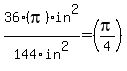
Probability (P)a point in the square will be in the circle:
P=area of circle/area of square=36%28pi%29in%5E2%2F144in%5E2=%28pi%2F4%29
.
The probability the point will be within 6" of center is pi%2F4.