SOLUTION: 3, 10, 17, 24, ... If the number pattern above continues, what will be the 100th number in the pattern? Please explain with detail! Thanks :0 :)

Algebra ->  Customizable Word Problem Solvers  -> Misc -> SOLUTION: 3, 10, 17, 24, ... If the number pattern above continues, what will be the 100th number in the pattern? Please explain with detail! Thanks :0 :)      Log On

Ad: Over 600 Algebra Word Problems at edhelper.com


   



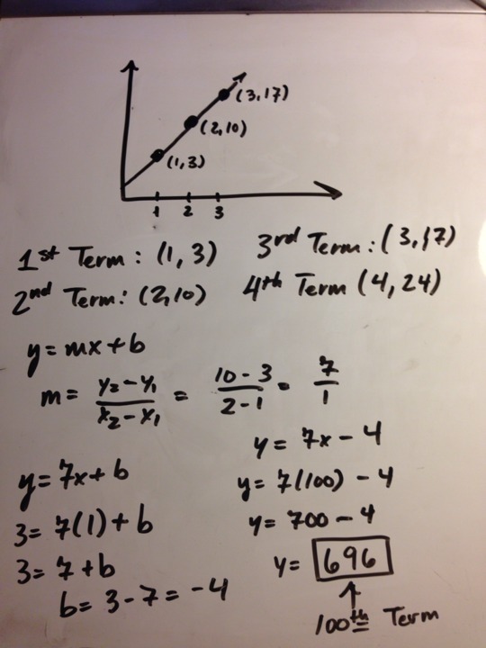
Question 977206: 3, 10, 17, 24, ...
If the number pattern above continues, what will be the 100th number in the pattern?
Please explain with detail! Thanks :0 :)

Found 2 solutions by brysca, MathTherapy:
Answer by brysca(112) About Me  (Show Source):
You can put this solution on YOUR website!
solution posted below
.
hope this helps!

Answer by MathTherapy(10839) About Me  (Show Source):
You can put this solution on YOUR website!

3, 10, 17, 24, ...
If the number pattern above continues, what will be the 100th number in the pattern?
Please explain with detail! Thanks :0 :)
This is an arithmetic progression (AP), so the AP formula: a%5Bn%5D+=+a%5B1%5D+%2B+%28n+-+1%29d can be used
a%5B100%5D+=+3+%2B+%28100+-+1%297 ------- Substituting 100 for n, 3 for a%5B1%5D (1st term), and 7 for d (common difference)
a%5B100%5D+=+3+%2B+%2899%297
a%5B100%5D+=+3+%2B+693
The 100th term, or highlight_green%28a%5B100%5D+=+696%29