SOLUTION: You drop a ball from a height of 1.5 meters. Each curved path has 74% of the height of the previous path. a. Write a rule for the sequence using centimeters. The initial height is

Algebra ->  Customizable Word Problem Solvers  -> Misc -> SOLUTION: You drop a ball from a height of 1.5 meters. Each curved path has 74% of the height of the previous path. a. Write a rule for the sequence using centimeters. The initial height is      Log On

Ad: Over 600 Algebra Word Problems at edhelper.com


   



Question 973959: You drop a ball from a height of 1.5 meters. Each curved path has 74% of the height of the previous path.
a. Write a rule for the sequence using centimeters. The initial height is given by the term n = 1.
b. What height will the ball be at the top of the sixth path?

Answer by Edwin McCravy(20083) About Me  (Show Source):
You can put this solution on YOUR website!
This is a geometric sequence.

a%5B1%5D=1.5m=150cm, r=0.74

The formula is

a%5Bn%5D=a%5B1%5Dr%5E%28n-1%29

Just substitute a1 = 150cm and r = 0.74

a%5Bn%5D=150%280.74%29%5E%28n-1%29

That's the rule.

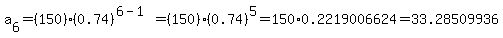
For the second part, substitute n = 6

cm.

Edwin