SOLUTION: The question to the problem is, "The larger of the two numbers is eight more than four times smaller. If the larger is increased by four times the smaller the result is 40. Find th

Algebra ->  Customizable Word Problem Solvers  -> Misc -> SOLUTION: The question to the problem is, "The larger of the two numbers is eight more than four times smaller. If the larger is increased by four times the smaller the result is 40. Find th      Log On

Ad: Over 600 Algebra Word Problems at edhelper.com


   



Question 950616: The question to the problem is, "The larger of the two numbers is eight more than four times smaller. If the larger is increased by four times the smaller the result is 40. Find the numbers using elimination." I need help setting up the equations.
Found 2 solutions by josgarithmetic, MathTherapy:
Answer by josgarithmetic(39629) About Me  (Show Source):
You can put this solution on YOUR website!
Make the equations exactly as described. Nothing strange here. Some lack of clarity in , "increased by four times the smaller". That does not mean "more than" or "less than".

x and y, the numbers, x%3Cy.

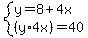
system%28y=8%2B4x%2C%28y%2A4x%29=40%29.
Elimination Method is not applicable here.

y%2Ax=10, simplified second part.
%288%2B4x%29%2Ax=10, substituted for y from first part.
%284%2B2x%29x=5
2x%5E2%2B4x=5
2x%5E2%2B4x-5=0

Factorable?
(2x____5)(x____1), no.
(2x____1)(x_____5), no.

Discriminant to prepare for general quadratic formula solution:
16-4%2A2%2A%28-5%29
16%2B8%2A5
56

x=%28-4%2B-+sqrt%2856%29%29%2F4
x=%28-4%2B-+2%2Asqrt%2814%29%29%2F4
x=%28-2%2B-+sqrt%2814%29%29%2F2

Trying just the plussquare root form,
y=8%2B4x=8%2B4%28highlight%28%28-2%2Bsqrt%2814%29%29%2F2%29%29
8%2B2%28-2%2Bsqrt%2814%29%29
8-4%2B2sqrt%2814%29
highlight%28y=4%2B2%2Asqrt%2814%29%29 for one possible combination x and y.

You can check on the other combination.

Answer by MathTherapy(10556) About Me  (Show Source):
You can put this solution on YOUR website!

The question to the problem is, "The larger of the two numbers is eight more than four times smaller. If the larger is increased by four times the smaller the result is 40. Find the numbers using elimination." I need help setting up the equations.
Let larger number be L, and smaller, S
Then, L = 4S + 8______L - 4S = 8 -------- eq (i)
Also, L + 4S = 40 ------- eq (ii)
2L = 48 --------- Adding eqs (ii) & (i) to eliminate S
L, or larger number = 48%2F2, or highlight_green%2824%29
You should be able to find S: the smaller number