SOLUTION: Find the area enclosed by the curve 1-x^2, the line x=2,and the x-axis.

Algebra ->  Customizable Word Problem Solvers  -> Misc -> SOLUTION: Find the area enclosed by the curve 1-x^2, the line x=2,and the x-axis.      Log On

Ad: Over 600 Algebra Word Problems at edhelper.com


   



Question 865866: Find the area enclosed by the curve 1-x^2, the line x=2,and the x-axis.
Answer by Fombitz(32388) About Me  (Show Source):
You can put this solution on YOUR website!

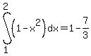
I think the area you want is the integral from x=1 to x=2.
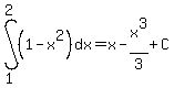
int%28%281-x%5E2%29%2Cdx%2C1%2C2%29=x-x%5E3%2F3%2BC
int%28%281-x%5E2%29%2Cdx%2C1%2C2%29=2-2%5E3%2F3-%281-1%5E3%2F3%29
int%28%281-x%5E2%29%2Cdx%2C1%2C2%29=2-1-8%2F3%2B1%2F3
int%28%281-x%5E2%29%2Cdx%2C1%2C2%29=1-7%2F3
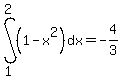
int%28%281-x%5E2%29%2Cdx%2C1%2C2%29=-4%2F3