SOLUTION: Rita earned $20 each day. Lauren earned $2 the first day, $3 the second day, $4 the third day, and so on. Richard earned $25 a day. Lisa earned $1 the first day, $2 the second day,

Algebra ->  Customizable Word Problem Solvers  -> Misc -> SOLUTION: Rita earned $20 each day. Lauren earned $2 the first day, $3 the second day, $4 the third day, and so on. Richard earned $25 a day. Lisa earned $1 the first day, $2 the second day,      Log On

Ad: Over 600 Algebra Word Problems at edhelper.com


   



Question 852510: Rita earned $20 each day. Lauren earned $2 the first day, $3 the second day, $4 the third day, and so on. Richard earned $25 a day. Lisa earned $1 the first day, $2 the second day, $4 the third day, and $8 the fourth day, and so on. Who earned the most money in 10 days?
Answer by ewatrrr(24785) About Me  (Show Source):
You can put this solution on YOUR website!
 
Hi,
after 10 days
Rita $20*10 = $200
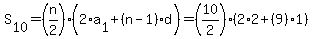
Lauren S%5B10%5D=%28n%2F2%29%282%2Aa%5B1%5D%2B+%28n-1%29d%29=+%2810%2F2%29%282%2A2%2B+%289%291%29 = $85
Richard $25*10 = $250
Lisa = $1023