Question 837970: Steven absurd some red dye to turn himself red for Valentine's day. If the half-life of the dye is 2 hours, and there is only 20mg of dye left in him after 15 hours, what is the original amount of the dye he took?
Answer by KMST(5328) (Show Source):
You can put this solution on YOUR website! = amount of dye left in Steven, in mg, at time in hours.
= original amount of the dye, in mg, that he took, and had inside at .
THE (precocious) FIFTH GRADER THOUGHTS:
Since the half-life of the dye is 2 hours,
after half-life, at , and
is half of the original amount
After half-lives, another half-life has passed, and
.
Another half-life after that, after half-lives, , and
.
The pattern tells me that at  the amount left is
.
So if , .
Since , , and  .
A good approximate solution is
 .
Steven took in 7240 mg (7.24 grams) of red dye.
THE PRE-CALCULUS STUDENT THOUGHTS:
I know the teacher said this type of problem is an example of exponential decay, and there is a formula for this.
It is an exponential function, with that irrational letter and a complicated exponent.
There was in that exponent, and something else, maybe the half-life, or some strange constant, or both.
THE PRE-CALCULUS STUDENT WITH HELP FROM THE FIFTH GRADER:
I do mot enjoy memorizing and blindly applying formulas.
I keep forgetting those formulas, anyway.

That is the number of half-lives,
because in this problem the half-life is ,
and so is the number of half-lives.

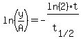
--> --> --> --> --> 
I think that factor was called or ,
,
and you can write
--> --> 
Oh, and we were supposed to use the approximate value ,
so for this problem, so .
At , we have 
Solving for ,
(rounding)
So (rounded).
What about using a better approximation for ?
With all the digits my calculator carries, (rounded).
|
|
|