SOLUTION: How do I complete the square and then solve the following problem: Sales of a soft drink produces profits in accordance with P(X)= -0.001x^2+3x-1800 per day. Where p is profits in

Algebra ->  Customizable Word Problem Solvers  -> Misc -> SOLUTION: How do I complete the square and then solve the following problem: Sales of a soft drink produces profits in accordance with P(X)= -0.001x^2+3x-1800 per day. Where p is profits in      Log On

Ad: Over 600 Algebra Word Problems at edhelper.com


   



Question 684863: How do I complete the square and then solve the following problem: Sales of a soft drink produces profits in accordance with P(X)= -0.001x^2+3x-1800 per day. Where p is profits in dollars and x is quantity of cans.
a) What are the maximum profits per day?
b) How many cans must be sold to gain maximum profits?

Answer by MathLover1(20850) About Me  (Show Source):
You can put this solution on YOUR website!
P%28x%29=+-0.001x%5E2%2B3x-1800+ ...this is a parabola that opens down because a+=+-0.001, means a+%3C+0 and maximum will be at vertex

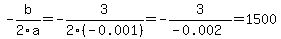
-b%2F2a=-3%2F2%28-0.001%29=-3%2F%28-0.002%29=1500 will give us the x-coordinate of the vertex

P%28x%29=+-0.001x%5E2%2B3x-1800+...plug in x and find P%28x%29
P%28x%29=+-0.001%281500%29%5E2%2B3%2A1500-1800+
P%28x%29=+-0.001%282250000%29%2B4500-1800+
P%28x%29=+-2250%2B4500-1800+
P%28x%29=+4500-4050+
P%28x%29=+450+
so, global maximum is at (1500,450)
than
a) the maximum profits per day is 450
b) 1500cans must be sold to gain maximum profits
+graph%28+700%2C+700%2C+-100%2C+2200%2C+-100%2C+500%2C+-0.001x%5E2%2B3x-1800%29