SOLUTION: You plan to build a fish tank with three different types of materials. The bottom will be made of slate and cost $8 per square inch. The back wall will be opaque glass and will c

Algebra ->  Customizable Word Problem Solvers  -> Misc -> SOLUTION: You plan to build a fish tank with three different types of materials. The bottom will be made of slate and cost $8 per square inch. The back wall will be opaque glass and will c      Log On

Ad: Over 600 Algebra Word Problems at edhelper.com


   



Question 657340: You plan to build a fish tank with three different types of materials. The bottom will be made of slate and cost $8 per square inch. The back wall will be opaque glass and will cost $5 per square inch. The front and two ends will be made of clear glass and will cost 0.70 per square inch. The ends of the tank will be square and the take will hold 10,000 cubic inches of water. Write an equation for the total cost of the materials needed to build the tank in terms of length L.
Answer by kevwill(135) About Me  (Show Source):
You can put this solution on YOUR website!
Let's start with the formula for volume:
V+=+L+%2A+W+%2A+H
We are told the ends are square, so
W+=+H and V+=+L+%2A+H+%2A+H+=+L+%2A+H%5E2
We are also told that the volume is a constant 10,000 cubic inches, so we have
10000+=+L+%2A+H%5E2
Solving for H:
H+=+sqrt%2810000%2FL%29
The area of the bottom is:

The areas of the back and front are the same as the bottom:
A%28back%29+=+100%2Asqrt%28L%29
A%28front%29+=+100%2Asqrt%28L%29
And the total area of the two ends are:

The cost for the bottom is
8.00%2AA%28bottom%29+=+8.00%2A100%2Asqrt%28L%29
The cost for the back is
5.00%2AA%28back%29+=+5.00%2A100%2Asqrt%28L%29
The cost for the front is
0.70%2AA%28front%29+=+0.70%2A100%2Asqrt%28L%29
And finally, the cost for the two ends is
0.70%2AA%28ends%29+=+0.70%2A%2820000%2FL%29
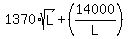
So the total cost of the aquarium is

Combining terms:
1370%2Asqrt%28L%29+%2B+%2814000%2FL%29