SOLUTION: Using L'Hopital's Rule, Find the lim of x approaches infinity = (4x²-5x/1-3x²)

Algebra ->  Customizable Word Problem Solvers  -> Misc -> SOLUTION: Using L'Hopital's Rule, Find the lim of x approaches infinity = (4x²-5x/1-3x²)      Log On

Ad: Over 600 Algebra Word Problems at edhelper.com


   



Question 653180: Using L'Hopital's Rule, Find the lim of x approaches infinity = (4x²-5x/1-3x²)
Answer by Edwin McCravy(20081) About Me  (Show Source):
You can put this solution on YOUR website!

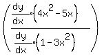
matrix%282%2C1%2Clim%2C%0D%0A%22x-%3E%22infinity%29%28%284x%5E2-5x%29%2F%281-3x%5E2%29%29 = matrix%282%2C1%2Clim%2C%0D%0A%22x-%3E%22infinity%29 =matrix%282%2C1%2Clim%2C%0D%0A%22x-%3E%22infinity%29%28%288x-5%29%2F%28-6x%29%29 = matrix%282%2C1%2Clim%2C%0D%0A%22x-%3E%22infinity%29 =
matrix%282%2C1%2Clim%2C%0D%0A%22x-%3E%22infinity%298%2F%28-6%29 = -8%2F6 = -4%2F3

Edwin