SOLUTION: A tree casts a shadow that measures 5 m. At the same time, a meter stick casts a shadow that is 0.4 m long. How tall is the tree?

Algebra ->  Customizable Word Problem Solvers  -> Misc -> SOLUTION: A tree casts a shadow that measures 5 m. At the same time, a meter stick casts a shadow that is 0.4 m long. How tall is the tree?      Log On

Ad: Over 600 Algebra Word Problems at edhelper.com


   



Question 56852: A tree casts a shadow that measures 5 m. At the same time, a meter stick casts a
shadow that is 0.4 m long. How tall is the tree?

Answer by funmath(2933) About Me  (Show Source):
You can put this solution on YOUR website!
A tree casts a shadow that measures 5 m. At the same time, a meter stick casts a
shadow that is 0.4 m long. How tall is the tree?
Let the measure of the tree=x
The measure of the meter stick=1m
Shadow of the tree=5m
shadow of the meter stick=.4m
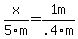
These are similar triangles, so the ratio of height/shadow of the tree=ratio of height/shadow of the meter stick.
x%2F5m=1m%2F.4m
5mx%2F5m=5m%281m%29%2F.4m
x=5m%5E2%2F.4m
highlight%28x=12.5m%29
Happy Calculating!!!