SOLUTION: In each of the following, list terms that continue a possible pattern. Which of the sequences are arithmetic, which are geometric, and which are neither? a. 8, 11, 14, 17, 20, .

Algebra ->  Customizable Word Problem Solvers  -> Misc -> SOLUTION: In each of the following, list terms that continue a possible pattern. Which of the sequences are arithmetic, which are geometric, and which are neither? a. 8, 11, 14, 17, 20, .      Log On

Ad: Over 600 Algebra Word Problems at edhelper.com


   



Question 438860: In each of the following, list terms that continue a possible
pattern. Which of the sequences are arithmetic,
which are geometric, and which are neither?
a. 8, 11, 14, 17, 20, ...
b. 1, 16, 81, 256, 625, ...
c. 5, 15, 45, 135, 405, ...
d. 2, 7, 12, 17, 22, ...
e.1, 1/2, 1/4, 1/8, 1/16, ...
Find the 100th term and the nth term for each of the
sequences in exercise above.

Answer by ewatrrr(24785) About Me  (Show Source):
You can put this solution on YOUR website!
 
Hi,
a. 8, 11, 14, 17, 20, ...
Arithmetic d = 3 a%5Bn%5D=a%5B1%5D%2B%28n-1%29%2Ad a%5B100%5D=8%2B%2899%29%2A3
b. 1, 16, 81, 256, 625, ...
Neither a%5Bn%5D=n%5E4 a%5B100%5D+=+100%5E4
c. 5, 15, 45, 135, 405, ...
Neither a%5Bn%5D=+5+%2A+3%5E%28n-1%29 a%5B100%5D=+5%2A+3%5E%2899%29
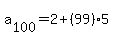
d. 2, 7, 12, 17, 22, ...
Arithmetic d = 5 a%5Bn%5D=a%5B1%5D%2B%28n-1%29%2Ad a%5B100%5D=2%2B%2899%29%2A5
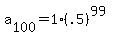
e.1, 1/2, 1/4, 1/8, 1/16, ...
Geometric r = 1/2 a%5Bn%5D+=+a%5B1%5D%2Ar%5E%28n-1%29 a%5B100%5D+=+1%2A%28.5%29%5E%2899%29