SOLUTION: Ms. Luciano's Algebra I class is describing the volume of geometric figures in terms of variables. She draws a rectangular prism that has a length of (x+2) meters, a width of (x-2)

Algebra ->  Customizable Word Problem Solvers  -> Misc -> SOLUTION: Ms. Luciano's Algebra I class is describing the volume of geometric figures in terms of variables. She draws a rectangular prism that has a length of (x+2) meters, a width of (x-2)      Log On

Ad: Over 600 Algebra Word Problems at edhelper.com


   



Question 434125: Ms. Luciano's Algebra I class is describing the volume of geometric figures in terms of variables. She draws a rectangular prism that has a length of (x+2) meters, a width of (x-2) meters, and a height of (x+1)meters. Which of the following is an expression for the volume, in cubic meters, of the rectangular prism?
a)3x-4
b)3x+1
c)x^3-4
d)x^3+2X^2-2x-4
e)x^3+x^2-4x-4

Answer by htmentor(1343) About Me  (Show Source):
You can put this solution on YOUR website!
The volume of the prism is the length x width x height
So the volume is:
(x+2)(x-2)(x+1)
The first 2 terms can be expressed as the difference of two squares, so we have:
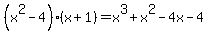
%28x%5E2-4%29%28x%2B1%29
Multiply using FOIL:
%28x%5E2-4%29%28x%2B1%29+=+x%5E3+%2B+x%5E2+-+4x+-+4