SOLUTION: Newtons law of gravitation says that the force of gravitational attraction, F between two particles is directly proportional to the product of their masses, m1 and m2, and inversel

Algebra ->  Customizable Word Problem Solvers  -> Misc -> SOLUTION: Newtons law of gravitation says that the force of gravitational attraction, F between two particles is directly proportional to the product of their masses, m1 and m2, and inversel      Log On

Ad: Over 600 Algebra Word Problems at edhelper.com


   



Question 396080: Newtons law of gravitation says that the force of gravitational attraction, F between two particles is directly proportional to the product of their masses, m1 and m2, and inversely proportional to the square of the distance, d, between them.
I think the relationship is F=k(m1+m2)/d^2 Is this right? The next part of the question I need some help with please.
If the two particles each lose half of their mass as the distance between them triples, how would the gravitational attraction between them change?

Answer by richard1234(7193) About Me  (Show Source):
You can put this solution on YOUR website!
It should be

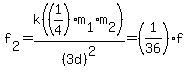
f+=+k%28m%5B1%5D%2Am%5B2%5D%29%2Fd%5E2 (the force is dependent on the product, not the sum). If m_1 and m_2 are each divided by 2, and the distance is tripled, then

f%5B2%5D+=+k%28%281%2F4%29m%5B1%5D%2Am%5B2%5D%29%2F%283d%29%5E2+=+%281%2F36%29f, so the force caused by gravity is 1/36 as much.

In case you're interested, the gravitational constant is approximately 6.67%2A10%5E%28-11%29 Nm^2/kg^2.