SOLUTION: How do I evaluate the following limit: lim ( x square - 9x)/(2 square root x - 6)? x->9

Algebra ->  Customizable Word Problem Solvers  -> Misc -> SOLUTION: How do I evaluate the following limit: lim ( x square - 9x)/(2 square root x - 6)? x->9      Log On

Ad: Over 600 Algebra Word Problems at edhelper.com


   



Question 394624: How do I evaluate the following limit:
lim ( x square - 9x)/(2 square root x - 6)?
x->9

Found 2 solutions by robertb, richard1234:
Answer by robertb(5830) About Me  (Show Source):
You can put this solution on YOUR website!

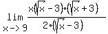
=
=lim%28x-%3E9%2C+%28x%28sqrt%28x%29+%2B+3%29%29%2F2%29%29%29
=9%2A%283%2B3%29%2F2 = 9*6/2 = 27.

Answer by richard1234(7193) About Me  (Show Source):
You can put this solution on YOUR website!
We have lim%28x-%3E9%2C+%28x%5E2+-+9x%29%2F%282sqrt%28x%29-6%29%29. By direct substitution we get a fraction equal to 0/0 which is indeterminate. Using L'Hôpital's rule,