SOLUTION: what two numbers when added together equal -15 but multiplied together equal 225?

Algebra ->  Customizable Word Problem Solvers  -> Misc -> SOLUTION: what two numbers when added together equal -15 but multiplied together equal 225?      Log On

Ad: Over 600 Algebra Word Problems at edhelper.com


   



Question 366524: what two numbers when added together equal -15 but multiplied together equal 225?
Answer by Fombitz(32388) About Me  (Show Source):
You can put this solution on YOUR website!
1.A%2BB=-15
2.A%2AB=225
From eq. 2,
A=225%2FB
Substitute into eq. 1,
225%2FB%2BB=-15
B%5E2%2B225=-15B
B%5E2%2B15B%2B225=0
Use the quadratic formula,
B+=+%28-15+%2B-+sqrt%28+15%5E2-4%2A1%2A225+%29%29%2F%282%2A1%29+
B+=+%28-15+%2B-+sqrt%28+225-900+%29%29%2F%282%29+
B+=+%28-15+%2B-+sqrt%28+-675+%29%29%2F%282%29+
B+=+%28-15+%2B-+15sqrt%28+3%29i%29%2F%282%29+
B+=+%2815%2F2%29%28-1+%2B-sqrt%28+3%29i%29+
Then using eq. 1,
A=%2815%2F2%29%28-1+%2B-sqrt%28+3%29i%29+
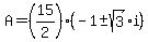
So the two numbers are,
highlight%28A=%2815%2F2%29%28-1%2Bsqrt%283%29i%29%29
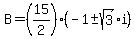
highlight%28B=%2815%2F2%29%28-1-sqrt%283%29i%29%29
and
highlight_green%28A=%2815%2F2%29%28-1-sqrt%283%29i%29%29
highlight_green%28B=%2815%2F2%29%28-1%2Bsqrt%283%29i%29%29