SOLUTION: The circumference of a rear wheel of a certain wagon is 3 feet longer than the circumference of the front wheel. The rear wheel makes 100 fewer revolutions than the front wheel in

Algebra ->  Customizable Word Problem Solvers  -> Misc -> SOLUTION: The circumference of a rear wheel of a certain wagon is 3 feet longer than the circumference of the front wheel. The rear wheel makes 100 fewer revolutions than the front wheel in       Log On

Ad: Over 600 Algebra Word Problems at edhelper.com


   



Question 348728: The circumference of a rear wheel of a certain wagon is 3 feet longer than the circumference of the front wheel. The rear wheel makes 100 fewer revolutions than the front wheel in travelling a distance of 6000 feet, Find the circumference of each wheel.
Answer by josmiceli(19441) About Me  (Show Source):
You can put this solution on YOUR website!
Let c = circumference of the front wheel
Then c+%2B+3 = circumference of the rear wheel
When the front wheel travels 6000 ft, it makes
6000%2Fc revolutions
The rear wheel makes 6000%2Fc+-+100 revolutions
--------------------------------------
%286000%2Fc+-+100%29%2A%28c+%2B+3%29+=+6000
This says:
(revolutions of rear wheel) x(circumference of rear wheel) = distance traveled
6000+-+100c+%2B+18000%2Fc+-+300+=+6000
6000c+-+100c%5E2+%2B+18000+-+300c+=+6000c
100c%5E2+%2B+300c+-+18000+=+0
c%5E2+%2B+3c+-+180+=+0
Completing the square:
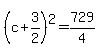
c%5E2+%2B+3c+%2B+%283%2F2%29%5E2+=+180+%2B+%283%2F2%29%5E2
c%5E2+%2B+3c+%2B+9%2F4+=+720%2F4+%2B+9%2F4
%28c+%2B+3%2F2%29%5E2+=+729%2F4
c+%2B+3%2F2+=+27%2F2
c+=+24%2F2
c+=+12
c+%2B+3+=+15
The front wheel is 12 ft in circumference
The rear wheel is 15 ft in circumference
check:
%286000%2Fc+-+100%29%2A%28c+%2B+3%29+=+6000
%286000%2F12+-+100%29%2A%2812+%2B+3%29+=+6000
%28500+-+100%29%2A15+=+6000
400%2A15+=+6000
6000+=+6000