SOLUTION: two soccer players kick the ball at the same time . one exerts a force of 72 newtons east. the other exerts a force of 45 newtons north. what is the magnitude to the nearest tenth

Algebra ->  Customizable Word Problem Solvers  -> Misc -> SOLUTION: two soccer players kick the ball at the same time . one exerts a force of 72 newtons east. the other exerts a force of 45 newtons north. what is the magnitude to the nearest tenth      Log On

Ad: Over 600 Algebra Word Problems at edhelper.com


   



Question 345481: two soccer players kick the ball at the same time . one exerts a force of 72 newtons east. the other exerts a force of 45 newtons north. what is the magnitude to the nearest tenth and direction to the nearest degree of the resultant force on the soccer ball ?
Answer by Fombitz(32388) About Me  (Show Source):
You can put this solution on YOUR website!
F%5E2=72%5E2%2B45%5E2
F%5E2=5184%2B2025
F%5E2=7209
F=84.9Newtons
.
.
.
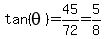
tan%28theta%29=45%2F72=5%2F8
theta=32.0 degrees North of East