Algebra ->
Customizable Word Problem Solvers
->
Misc
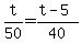
-> SOLUTION: Ben runs around a circular track in 50 seconds, and roy, in 40 seconds. Five five secons after ben starts, roy starts from the same place in the same direction. When will they be t
Log On