Question 331081: I have a plate of whole cookies. I gave Tim half of what was on the plate, plus half of a cookie. I gave Beth half of what was left on the plate, plus half of a cookie. I gave Michelle half of what was left on the plate, plus half of a cookie. I have no cookies left on my plate and I did not have to break any in half. How many cookies were on the plate to begin with?
Answer by josmiceli(19441) (Show Source):
You can put this solution on YOUR website! Let = number of whole cookies on plate to begin with
I gave Tim , so I have left

I gave Beth , so I have left

I gave Michelle 
There are no cookies left on the plate
That means I gave away all the cookies, so
Tim, Beth, and Michelle have them all, so
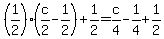
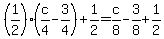
= all the cookies
= all the cookies
and, since
= number of whole cookies on plate to begin with,



There were 7 cookies on the plate to begin with
check answer:
I gave Tim , so I have left
I gave beth , so I have left
I gave Michelle , so I have left
OK
|
|
|