SOLUTION: A bag contains 16 yellow marbles, 6 green marbles, and 7 red marbles. What is the chance of drawing a yellow marble? If a yellow marble is drawn the first time and then a secong ma

Algebra ->  Customizable Word Problem Solvers  -> Misc -> SOLUTION: A bag contains 16 yellow marbles, 6 green marbles, and 7 red marbles. What is the chance of drawing a yellow marble? If a yellow marble is drawn the first time and then a secong ma      Log On

Ad: Over 600 Algebra Word Problems at edhelper.com


   



Question 327081: A bag contains 16 yellow marbles, 6 green marbles, and 7 red marbles. What is the chance of drawing a yellow marble? If a yellow marble is drawn the first time and then a secong marble is drawn without replacement, what is the probability of drawing a second yellow marble?
Answer by Fombitz(32388) About Me  (Show Source):
You can put this solution on YOUR website!
16 Yellow
6 Green
7 Red
29 Total
.
.
1. P%28Y%29=16%2F29
.
.
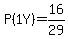
2. P%281+Y%29=16%2F29
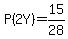
Without replacement, the number of yellow marbles and total marbles drops by one,
P%282+Y%29=15%2F28
P(both yellow)=%2816%2F29%29%2815%2F28%29=60%2F203