SOLUTION: Rational expressions--Dan & Julio can mow a lawn in 12 minutes. Julio can mow the lawn by himself in 10 minutes less time than it takes Dan by himself. How long does it take each

Algebra ->  Customizable Word Problem Solvers  -> Misc -> SOLUTION: Rational expressions--Dan & Julio can mow a lawn in 12 minutes. Julio can mow the lawn by himself in 10 minutes less time than it takes Dan by himself. How long does it take each       Log On

Ad: Over 600 Algebra Word Problems at edhelper.com


   



Question 31768This question is from textbook elem inter. algebra
: Rational expressions--Dan & Julio can mow a lawn in 12 minutes. Julio can mow the lawn by himself in 10 minutes less time than it takes Dan by himself. How long does it take each of them to mow the lawn alone? This question is from textbook elem inter. algebra

Answer by Paul(988) About Me  (Show Source):
You can put this solution on YOUR website!
Let Dan's pace be x
let Julio's pace be x-10
Total propotion:
1%2F%28x-10%29%2B1%2Fx=1%2F12
Cross multiply:

2x-10=%28x%5E2-10x%29%2F12
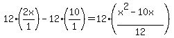
Multiply the whole equation by 12 to remove the fraction:
12%282x%2F1%29-12%2810%2F1%29=12%28%28x%5E2-10x%29%2F12%29
Simplfy:
24x-120=x%5E2-10x
Put it into form:
x%5E2-34x%2B120=0
Use the quadratic formula:
x+=+%28-b+%2B-+sqrt%28+b%5E2-4%2Aa%2Ac+%29%29%2F%282%2Aa%29+
In which a=1, b=-34, c=120
x+=+%28-%28-34%29+%2B-+sqrt%28+%28-34%29%5E2-4%2A1%2A120+%29%29%2F%282%2A1%29+
Remove the negative sign:
x=%2834%2Bsqrt%281156-480%29%29%2F2
x=%2834%2B26%29%2F2
x=30
30-10=20
Hence, Julio can mow the lawn is 20 minuites and Dan can mow the lawn is 30 minutes when working alone.
Paul.