SOLUTION: 8. Answer the question. You will need to use the formula 4.9t2 + v0t = s, where t is the time in seconds, v0 is the initial velocity, and s is the distance in meters. Approximat

Algebra ->  Customizable Word Problem Solvers  -> Misc -> SOLUTION: 8. Answer the question. You will need to use the formula 4.9t2 + v0t = s, where t is the time in seconds, v0 is the initial velocity, and s is the distance in meters. Approximat      Log On

Ad: Over 600 Algebra Word Problems at edhelper.com


   



Question 312943: 8. Answer the question. You will need to use the formula 4.9t2 + v0t = s, where t is the time in seconds, v0 is the initial velocity, and s is the distance in meters.
Approximately how far will an object fall in 4 seconds, if it is thrown downward at an initial velocity of 20 meters per second (v0) from a helicopter?

Answer by nerdybill(7384) About Me  (Show Source):
You can put this solution on YOUR website!
8. Answer the question. You will need to use the formula 4.9t2 + v0t = s, where t is the time in seconds, v0 is the initial velocity, and s is the distance in meters.
Approximately how far will an object fall in 4 seconds, if it is thrown downward at an initial velocity of 20 meters per second (v0) from a helicopter?
.
Given equation is:
-4.9t%5E2+%2B+v0t+=+s
Notice there is a negative sign associated with the 4.9.
.
Plug in given info:
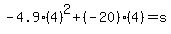
-4.9%284%29%5E2+%2B+%28-20%29%284%29+=+s
-4.9%2816%29+%2B+%28-80%29+=+s
-78.4+%2B+%28-80%29+=+s
-78.4+-+80%29+=+s
-158.4+=+s (meters)