SOLUTION: find the inverse function of f(x)=5x-9 and verify that they are inverses of each other

Algebra ->  Customizable Word Problem Solvers  -> Misc -> SOLUTION: find the inverse function of f(x)=5x-9 and verify that they are inverses of each other       Log On

Ad: Over 600 Algebra Word Problems at edhelper.com


   



Question 28857: find the inverse function of f(x)=5x-9 and verify that they are inverses of each other
Answer by longjonsilver(2297) About Me  (Show Source):
You can put this solution on YOUR website!
f(x) = 5x-9

--> y = 5x-9
y+9 = 5x
--> +x+=+%28y%2B9%29%2F5+

so, the inverse function is +f%5E%28-1%29%28x%29+=+%28x%2B9%29%2F5+


Verify...
pick any value of x and put it into f(x) to get a value of f(x).

f(1) = 5(1)-9
f(1) = 5-9
f(1) = -4

So, now put -4 into the inverse function and the answer we expect is 1.

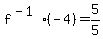
+f%5E%28-1%29%28-4%29+=+%28-4%2B9%29%2F5+
+f%5E%28-1%29%28-4%29+=+5%2F5+
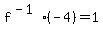
+f%5E%28-1%29%28-4%29+=+1+

jon.