SOLUTION: If the diameter of a circle is 1.3 x (10^-12)meters, then what is its radius?
Algebra
->
Customizable Word Problem Solvers
->
Misc
-> SOLUTION: If the diameter of a circle is 1.3 x (10^-12)meters, then what is its radius?
Log On
Ad:
Over 600 Algebra Word Problems at edhelper.com
Word Problems: Miscellaneous Word Problems
Word
Solvers
Solvers
Lessons
Lessons
Answers archive
Answers
Click here to see ALL problems on Miscellaneous Word Problems
Question 207150
:
If the diameter of a circle is 1.3 x (10^-12)meters, then what is its radius?
Answer by
Theo(13342)
(
Show Source
):
You can
put this solution on YOUR website!
The diameter is
meters.
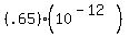
the radius is 1/2 that.
the radius is equal to
which equals
-----