SOLUTION: Using the numbers 5,8,6,and 10, I need to create an equation using addition, subtraction,multiplication, and division. The equation has to equal 0.8, 0.3, or 1.9 and all of the num

Algebra ->  Customizable Word Problem Solvers  -> Misc -> SOLUTION: Using the numbers 5,8,6,and 10, I need to create an equation using addition, subtraction,multiplication, and division. The equation has to equal 0.8, 0.3, or 1.9 and all of the num      Log On

Ad: Over 600 Algebra Word Problems at edhelper.com


   



Question 191985: Using the numbers 5,8,6,and 10, I need to create an equation using addition, subtraction,multiplication, and division. The equation has to equal 0.8, 0.3, or 1.9 and all of the numbers have to be used.
I have tried equations such as 10-6*3/8, however the equation ends up getting very close but never to the exact answer.

Answer by jim_thompson5910(35256) About Me  (Show Source):
You can put this solution on YOUR website!
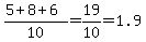
Assuming that the numbers can go in any order and you can use parenthesis, here's one way to find all three (there may be more than one way to find the answer)


%288%286-5%29%29%2F10=%288%281%29%29%2F10=8%2F10=0.8

%285-8%2B6%29%2F10=3%2F10=0.3

%285%2B8%2B6%29%2F10=19%2F10=1.9