SOLUTION: find the exact value of cos5pi/12

Algebra ->  Customizable Word Problem Solvers  -> Misc -> SOLUTION: find the exact value of cos5pi/12      Log On

Ad: Over 600 Algebra Word Problems at edhelper.com


   



Question 175826: find the exact value of cos5pi/12
Answer by jim_thompson5910(35256) About Me  (Show Source):
You can put this solution on YOUR website!
cos%285pi%2F12%29=cos%28pi%2F6%2Bpi%2F4%29 First, expand 5pi%2F12 to pi%2F6%2Bpi%2F4


cos%285pi%2F12%29=cos%28pi%2F6%29cos%28pi%2F4%29-sin%28pi%2F6%29sin%28pi%2F4%29 Use the sum-difference identity


Evaluate the trig functions.


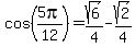
cos%285pi%2F12%29=sqrt%286%29%2F4-sqrt%282%29%2F4 Multiply


cos%285pi%2F12%29=%28sqrt%286%29-sqrt%282%29%29%2F4 Combine the fractions.