SOLUTION: How do you simplify the fractions 2x+8/x+4
Algebra
->
Customizable Word Problem Solvers
->
Misc
-> SOLUTION: How do you simplify the fractions 2x+8/x+4
Log On
Ad:
Over 600 Algebra Word Problems at edhelper.com
Word Problems: Miscellaneous Word Problems
Word
Solvers
Solvers
Lessons
Lessons
Answers archive
Answers
Click here to see ALL problems on Miscellaneous Word Problems
Question 173976
:
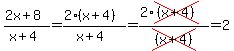
How do you simplify the fractions 2x+8/x+4
Answer by
jim_thompson5910(35256)
(
Show Source
):
You can
put this solution on YOUR website!
Note:
factors to
So
where