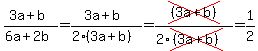
SOLUTION: How do you simplify the fraction 3a+b/6a+2b
Algebra
->
Customizable Word Problem Solvers
->
Misc
-> SOLUTION: How do you simplify the fraction 3a+b/6a+2b
Log On
Ad:
Over 600 Algebra Word Problems at edhelper.com
Word Problems: Miscellaneous Word Problems
Word
Solvers
Solvers
Lessons
Lessons
Answers archive
Answers
Click here to see ALL problems on Miscellaneous Word Problems
Question 173975
:
How do you simplify the fraction 3a+b/6a+2b
Found 2 solutions by
jim_thompson5910, Mathtut
:
Answer by
jim_thompson5910(35256)
(
Show Source
):
You can
put this solution on YOUR website!
So
where
Answer by
Mathtut(3670)
(
Show Source
):
You can
put this solution on YOUR website!
-----6a+2b=2(3a+b)
: