SOLUTION: I have been struggling to figure out this math problem and I was wondering if someone could help me? Please and Thank You!! I would deeply appreciate it!! Rational Algebraic Exp

Algebra ->  Customizable Word Problem Solvers  -> Misc -> SOLUTION: I have been struggling to figure out this math problem and I was wondering if someone could help me? Please and Thank You!! I would deeply appreciate it!! Rational Algebraic Exp      Log On

Ad: Over 600 Algebra Word Problems at edhelper.com


   



Question 169904This question is from textbook Algebra and Trigonometry
: I have been struggling to figure out this math problem and I was wondering if someone could help me? Please and Thank You!! I would deeply appreciate it!!
Rational Algebraic Expression
Simplify
t^4-1 over t^3+t^2+t+1
This question is from textbook Algebra and Trigonometry

Answer by Alan3354(69443) About Me  (Show Source):
You can put this solution on YOUR website!
Simplify
t^4-1 over t^3+t^2+t+1
-------------
%28t%5E4-1%29%2F%28t%5E3%2Bt%5E2%2Bt%2B1%29
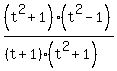
= %28t%5E2%2B1%29%2A%28t%5E2-1%29%2F%28%28t%2B1%29%2A%28t%5E2%2B1%29%29
Cancel the (t^2+1)
= %28t%5E2-1%29%2F%28t%2B1%29
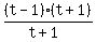
= %28t-1%29%2A%28t%2B1%29%2F%28t%2B1%29
Cancel (t+1)
= t-1