SOLUTION: This has to do with direct, indirect, and joint variation. Sorry but I couldn't find it anywhere and I need help desparately! Here are the problems: 1. If y varies directly wit

Algebra ->  Customizable Word Problem Solvers  -> Misc -> SOLUTION: This has to do with direct, indirect, and joint variation. Sorry but I couldn't find it anywhere and I need help desparately! Here are the problems: 1. If y varies directly wit      Log On

Ad: Over 600 Algebra Word Problems at edhelper.com


   



Question 165776: This has to do with direct, indirect, and joint variation. Sorry but I couldn't find it anywhere and I need help desparately!
Here are the problems:
1. If y varies directly with x, and y=10 when x=15, find y when x=6.
2. If x varies inversely as y and x=2 when y=8, find x when y=17.
3. If y varies directly as x and inversely as z^2, and y=3 when x=2 and z=4, what is the value of x when y=9 and z=4?
Thanks a bunch for any help!!
Joanne

Answer by Mathtut(3670) About Me  (Show Source):
You can put this solution on YOUR website!
1. if y varies directly with x this means that as y increases x increases or if y decreases then x decreases. so 10%2F15=y%2F6 cross multiply and get
15y=60 and y=4.
2. if x varies inversely as y this means that as x increases then y decreases and vise versa. so 2%2F8=17%2Fy cross multiply and get 2y=136 y=68
3 now y varies directly to x and inversely to z squared so
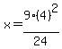
yz%5E2%2Fx=3%284%29%5E2%2F2=48%2F2=24 so x=yz%5E2%2F24 x=9%284%29%5E2%2F24
x=144%2F24=6 so x=6