SOLUTION: One third of the result of twice a certain number is added to one. The resulting expression is equivalent to one quarter of twice the certain number. Write an equation and solve.

Algebra ->  Customizable Word Problem Solvers  -> Misc -> SOLUTION: One third of the result of twice a certain number is added to one. The resulting expression is equivalent to one quarter of twice the certain number. Write an equation and solve.      Log On

Ad: Over 600 Algebra Word Problems at edhelper.com


   



Question 153291: One third of the result of twice a certain number is added to one. The resulting expression is equivalent to one quarter of twice the certain number. Write an equation and solve.
Answer by orca(409) About Me  (Show Source):
You can put this solution on YOUR website!
Let x be the number.
One third of the result of twice a certain number plus one can be expressed as:
%281%2F3%29%2A2x%2B1%29
One quarter of twice the certain number can be expressed as:
%281%2F4%29%2A2x
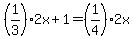
According to the given information, these two expressions are the same. So we have:
%281%2F3%29%2A2x%2B1=%281%2F4%29%2A2x
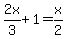
Solving for x, we have
2x%2F3%2B1=x%2F2
6%2A%282x%2F3%2B1%29=6%28x%2F2%29 (multiply both sides by 6)
4x%2B6=3x
x=-6
So the number is -6.