SOLUTION: Can anyone seem to help me with this problem? I have come to a complete blank on it. Question 64 Address book The perimeter of the cover of an address book is 14 inches, a

Algebra ->  Customizable Word Problem Solvers  -> Misc -> SOLUTION: Can anyone seem to help me with this problem? I have come to a complete blank on it. Question 64 Address book The perimeter of the cover of an address book is 14 inches, a      Log On

Ad: Over 600 Algebra Word Problems at edhelper.com


   



Question 151681: Can anyone seem to help me with this problem? I have come to a complete blank on it.

Question 64
Address book
The perimeter of the cover of an address book is 14 inches, and the diagonal measures 5 inches. What are the length and width of the cover?
x^2 + x^2 = 5^2
x^4 = 25
x^4 - 25 = 14
I do not know what to do next. I followed the Pythagorean steps, but cannot figure out what has gone wrong.
Thanks.
Amanda

Answer by jim_thompson5910(35256) About Me  (Show Source):
You can put this solution on YOUR website!
Let x=width and y=length

Remember, the perimeter of any rectangle is:

P=2x%2B2y


14=2x%2B2y Plug in P=14 (the given perimeter)


14-2x=2y Subtract 2x from both sides.


2y=-2x%2B14 Rearrange the terms


y=-x%2B7 Divide both sides by 2 to isolate y


Through the use of pythagoreans theorem, we get:


x%5E2%2By%5E2=5%5E2


x%5E2%2By%5E2=25 Square 5 to get 25


x%5E2%2B%28-x%2B7%29%5E2=25 Plug in y=-x%2B7


x%5E2%2Bx%5E2-14x%2B49=25 FOIL


x%5E2%2Bx%5E2-14x%2B49-25=0 Subtract 25 from both sides.


2x%5E2-14x%2B24=0 Combine like terms. Note: x%5E2%2Bx%5E2%3C%3Ex%5E4


Notice we have a quadratic equation in the form of ax%5E2%2Bbx%2Bc where a=2, b=-14, and c=24


Let's use the quadratic formula to solve for x


x+=+%28-b+%2B-+sqrt%28+b%5E2-4ac+%29%29%2F%282a%29 Start with the quadratic formula


x+=+%28-%28-14%29+%2B-+sqrt%28+%28-14%29%5E2-4%282%29%2824%29+%29%29%2F%282%282%29%29 Plug in a=2, b=-14, and c=24


x+=+%2814+%2B-+sqrt%28+%28-14%29%5E2-4%282%29%2824%29+%29%29%2F%282%282%29%29 Negate -14 to get 14.


x+=+%2814+%2B-+sqrt%28+196-4%282%29%2824%29+%29%29%2F%282%282%29%29 Square -14 to get 196.


x+=+%2814+%2B-+sqrt%28+196-192+%29%29%2F%282%282%29%29 Multiply 4%282%29%2824%29 to get 192


x+=+%2814+%2B-+sqrt%28+4+%29%29%2F%282%282%29%29 Subtract 192 from 196 to get 4


x+=+%2814+%2B-+sqrt%28+4+%29%29%2F%284%29 Multiply 2 and 2 to get 4.


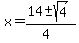
x+=+%2814+%2B-+2%29%2F%284%29 Take the square root of 4 to get 2.


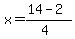
x+=+%2814+%2B+2%29%2F%284%29 or x+=+%2814+-+2%29%2F%284%29 Break up the expression.


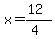
x+=+%2816%29%2F%284%29 or x+=++%2812%29%2F%284%29 Combine like terms.


x+=+4 or x+=+3 Simplify.


So the widths are x+=+4 or x+=+3

y=-x%2B7 Go back to the second equation


y=-4%2B7 Plug in x+=+4


y=3 Add


So if the width is 4 inches, the length is 3 inches


------------------------------------



y=-x%2B7 Go back to the second equation


y=-3%2B7 Plug in x+=+3


y=4 Add


So if the width is 3 inches, the length is 4 inches


Note: the length is usually the longer of the two. So your book probably has the width of 3 inches and a length of 4 inches