SOLUTION: If a,b and c are positive integers, find the sum a+b+c if: {{{a^3b^2c = 3528, ab^3c^2 = 55566}}} and {{{a^2bc^3 = 20412}}}.

Algebra ->  Customizable Word Problem Solvers  -> Misc -> SOLUTION: If a,b and c are positive integers, find the sum a+b+c if: {{{a^3b^2c = 3528, ab^3c^2 = 55566}}} and {{{a^2bc^3 = 20412}}}.      Log On

Ad: Over 600 Algebra Word Problems at edhelper.com


   



Question 1209222: If a,b and c are positive integers, find the sum a+b+c if:
a%5E3b%5E2c+=+3528%2C+ab%5E3c%5E2+=+55566 and a%5E2bc%5E3+=+20412.

Answer by greenestamps(13209) About Me  (Show Source):
You can put this solution on YOUR website!


Using either pencil and paper or an online prime factorization tool, find that

20412=%282%5E2%29%283%5E6%29%287%5E1%29=%28a%5E2%29%28b%29%28c%5E3%29

We don't need to find the prime factorization of the other two numbers; the answer is uniquely determined by this one.

In that prime factorization....
(1) prime factors 2 and 3 are both used more than once; and factors a and c are both used more than once. 7 and b are the only factors used once each, so b must be 7
(2) prime factor 2 is used twice and factor c is used 3 times, so c can't be 2

So we must have
2%5E2=a%5E2 so a = 2
3%5E6=c%5E3 so c = 3^2 = 9

ANSWER: (a,b,c) = (2,7,9)

CHECK:
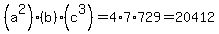
%28a%5E3%29%28b%5E2%29%28c%29=8%2A49%2A9=3528
%28a%29%28b%5E3%29%28c%5E2%29=2%2A343%2A81=55566
%28a%5E2%29%28b%29%28c%5E3%29=4%2A7%2A729=20412