SOLUTION: Hi A cubic container was completely filled with water. When 3/5 of the water was poured into a fish tank, the tank was 1/4 full. If the capacity of the tank was 1400 cm^3 more tha

Algebra ->  Customizable Word Problem Solvers  -> Misc -> SOLUTION: Hi A cubic container was completely filled with water. When 3/5 of the water was poured into a fish tank, the tank was 1/4 full. If the capacity of the tank was 1400 cm^3 more tha      Log On

Ad: Over 600 Algebra Word Problems at edhelper.com


   



Question 1208201: Hi
A cubic container was completely filled with water. When 3/5 of the water was poured into a fish tank, the tank was 1/4 full. If the capacity of the tank was 1400 cm^3 more than the container, what was the volume of the container.

Found 3 solutions by josgarithmetic, mananth, ikleyn:
Answer by josgarithmetic(39621) About Me  (Show Source):
You can put this solution on YOUR website!
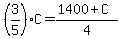
C, volume of cubic container
1400+C cubic centimeters, capacity of fish tank

%283%2F5%29C was %281%2F4%29%281400%2BC%29;
Meaning
%283%2F5%29C=%281400%2BC%29%2F4


12C=5%28C%2B1400%29
12C=5C%2B5%2A1400
7C=5%2A1400
C=5%2A200
highlight%28C=1000%29

Answer by mananth(16946) About Me  (Show Source):
You can put this solution on YOUR website!
A cubic container was completely filled with water. When 3/5 of the water was poured into a fish tank, the tank was 1/4 full. If the capacity of the tank was 1400 cm^3 more than the container, what was the volume of the container.
let volume of container be x
First condition
When 3/5 of the water was poured into a fish tank, the tank was 1/4 full.
(3/5) x = (1/4)y
y = (3/5)(4/1) x = (12/5)x
If the capacity of the tank was 1400 cm^3 more than the container
x= y+1400
x = (12/5)x + 1400
multiply equation by 5
5x = 12x + 7000
7x = 7000
x =1000
The volume of the container is 1000 cm^3





Answer by ikleyn(52817) About Me  (Show Source):
You can put this solution on YOUR website!
.
A cubic container was completely filled with water. When 3/5 of the water was poured
into a fish tank, the tank was 1/4 full. If the capacity of the tank was 1400 cm^3 more
than the container, what was the volume of the container.
~~~~~~~~~~~~~~~~~~~~~~~~~~~~~~~~~~~~~~~


        The solution in the post by @mananth is written incorrectly,
        because the setup equation in his post is incorrect.

        I came to bring a correct solution with correct writing.


let volume of container be  x

First condition
When 3/5 of the water was poured into a fish tank, the tank was 1/4 full. 

(3/5) x   = (1/4)y

y = (3/5)(4/1) x  = (12/5)x



If the capacity of the tank was 1400 cm^3 more than the container


x + 1400 = y            <<<---===   ! ! !   It is the CORRECT setup equation,
                                            in distinction from that by @mananth

x + 1400 = (12/5)x

multiply equation by 5

5x + 7000 = 12x

7000 = 12x - 5x = 7x

x = 7000/7 = 1000

The volume of the container is 1000  cm^3.    

Solved and written correctly.