SOLUTION: Hi Martha spent $540 on a camera and gave 1/5 of the remainder to her brother Justin. Then she bought a dress for $180. If she had 1/14 of her money left how much did she have at

Algebra ->  Customizable Word Problem Solvers  -> Misc -> SOLUTION: Hi Martha spent $540 on a camera and gave 1/5 of the remainder to her brother Justin. Then she bought a dress for $180. If she had 1/14 of her money left how much did she have at       Log On

Ad: Over 600 Algebra Word Problems at edhelper.com


   



Question 1206718: Hi
Martha spent $540 on a camera and gave 1/5 of the remainder to her brother Justin. Then she bought a dress for $180. If she had 1/14 of her money left how much did she have at first

Found 2 solutions by Theo, josgarithmetic:
Answer by Theo(13342) About Me  (Show Source):
You can put this solution on YOUR website!
Martha spent $540 on a camera and gave 1/5 of the remainder to her brother Justin. Then she bought a dress for $180. If she had 1/14 of her money left how much did she have at first.

she started with x.
she bought a camera for 540.
she had x - 540 left.
she gave 1/5 of that to her brother.
she had x - 540 - 1/5 * (x - 540) left.
simplify that to get:
she had 4/5 * x - 432 left.
she bought a dress for 180.
she had 4/5 * x - 432 - 180 left.
simplify that to get:
she had 4/5 * x - 612 left.
that was equal to 1/14 * her original money = 1/14 * x.
therefore:
4/5 * x - 612 = 1/14 * x
subtract 1/14 * x from both sides of the equation and add 612 to both sides of the equation to get:
4/5 * x - 1/14 * x = 612
multiply both sides of that equation by 70 to get:
56 * x - 5 * x = 42840
combine like terms to get:
51 * x = 42840
solve for x to get:
x = 42840 / 51 = 840.

she originally had 840.
she bought a camera for 540.
she had 300 left.
she gave 1/5 of 300 to her brother = 60
she had 300 - 60 = 240 left
she bought a dress for 180.
she had 240 - 180 = 60 left
60 = 1/14 * x.
solve for x to get x = 14 * 60 = 840.

solution is confirmed to be good.

your answer is that x = 840 = the amount of money that she originally had.


Answer by josgarithmetic(39620) About Me  (Show Source):
You can put this solution on YOUR website!
t for original total amount
Following literally the description t-540-%28t-540%29%2F5-180=t%2F14

t-540-t%2F5%2B540%2F5-180=t%2F14
%284%2F5%29t-540-180%2B108=t%2F14
%284%2F5%29t-612=t%2F14
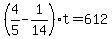
%284%2F5-1%2F14%29t=612, LCD 70
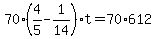
70%284%2F5-1%2F14%29t=70%2A612
%2856-5%29t=70%2A612
t=%2870%2A612%29%2F51
highlight%28t=840%29