SOLUTION: Hello, I am just starting to learn Calculus and am stuck with this problem. Would really appreciate your help. I know the Average rate of change is the slope of the secant line and

Algebra ->  Customizable Word Problem Solvers  -> Misc -> SOLUTION: Hello, I am just starting to learn Calculus and am stuck with this problem. Would really appreciate your help. I know the Average rate of change is the slope of the secant line and      Log On

Ad: Over 600 Algebra Word Problems at edhelper.com


   



Question 1203157: Hello, I am just starting to learn Calculus and am stuck with this problem. Would really appreciate your help. I know the Average rate of change is the slope of the secant line and the formula but I don't know how to proceed with this particular problem.
Would appreciate it if you could please solve it using the simplest method possible.
IMG-5625

Found 2 solutions by math_tutor2020, ikleyn:
Answer by math_tutor2020(3835) About Me  (Show Source):
You can put this solution on YOUR website!

Plug in theta = pi/6
T%28theta%29+=+%28%282V%29%2F%28g%29%29%2Asin%28theta%29

T%28pi%2F6%29+=+%28%282V%29%2F%28g%29%29%2Asin%28pi%2F6%29

T%28pi%2F6%29+=+%28%282V%29%2F%28g%29%29%2A%281%2F2%29 Use the unit circle

T%28pi%2F6%29+=+V%2Fg


Repeat for theta = pi/4
T%28theta%29+=+%28%282V%29%2F%28g%29%29%2Asin%28theta%29

T%28pi%2F4%29+=+%28%282V%29%2F%28g%29%29%2Asin%28pi%2F4%29

T%28pi%2F4%29+=+%28%282V%29%2F%28g%29%29%2A%28sqrt%282%29%2F2%29 Use the unit circle

T%28pi%2F4%29+=+%28V%2Asqrt%282%29%29%2F%28g%29

The difference between those results is
T%28pi%2F6%29+-+T%28pi%2F4%29+=+V%2Fg+-+%28V%2Asqrt%282%29%29%2F%28g%29

T%28pi%2F6%29+-+T%28pi%2F4%29+=+%28V+-+V%2Asqrt%282%29%29%2F%28g%29

T%28pi%2F6%29+-+T%28pi%2F4%29+=+V%281+-+sqrt%282%29%29%2F%28g%29

Then divide this over the distance from theta = pi/6 to theta = pi/4












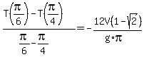
The average rate of change over the interval [pi/6, pi/4] is -12V%281+-+sqrt%282%29%29%2F%28g%2Api%29

Answer by ikleyn(53765) About Me  (Show Source):
You can put this solution on YOUR website!
.

You are given the function  T%28theta%29 = %28%282V%29%2Fg%29%2Asin%28theta%29.


They want you determine the average rate of change of this function on the interval [pi%2F6,pi%2F4].


Note that in this function, the factor  %282V%29%2Fg%29  is a constant value (constant multiplier).

The changeable part is function "sine".


So, as usual and according to the definition, you must calculate  T%28pi%2F6%29, T%28pi%2F4%29  and then take the ratio

    %28T%28pi%2F4%29-T%28pi%2F6%29%29%2F%28pi%2F4-pi%2F6%29,  which is the average rate of change of the given function.


It is  %28%282V%29%2Fg%29%2A%28sin%28pi%2F4%29-sin%28pi%2F6%29%29%2F%28pi%2F4-pi%2F6%29 = %28%282V%29%2Fg%29%2A%28sqrt%282%29%2F2-%281%2F2%29%29%2F%28%283pi%29%2F12-%282pi%29%2F12%29 = %28%282V%29%2Fg%29%2A%28%28sqrt%282%29-1%29%2F2%29%2F%28%28pi%2F12%29%29.

In your post, the info related to values of V and g is cut, so I can not see and can not use
these values from your post to complete calculations, but the rest is presented to you
in totally clear form with totally clear explanation.


//////////////////


Next, I got this Comment from student: Hello ikleyn,
You have helped me with many of my questions on algebra.com previously for which I am thankful.
Do you happen to know any site similar to algebra.com where I can post Calculus questions?
I understand algebra.com is limited to algebra, geometry or precalc problems only. Would appreciate your help. Thank you!


My response.   First,  I don't know,  from whom this comment came to my page.
        This forum works such way, that there is no direct way to determine it by default.
        It is made by the forum's creator/owner intently to avoid conflicts between the tutors and visitors.

        So, if you want to communicate with me  (with the tutors),  other than to say  " Thank you ",  you should refer
        to the problem's  ID  number, which is  ALWAYS  in the left upper corner of the tutor's parcel.
                For example,  for this problem the  ID  is  1203157.
        Otherwise,  purposeful/targeted communication is not possible.

        So,  if this comment is not from you,  simply ignore this my writing that follows.

        But if it is from you,  then . . .

        - your suggestion that this site/forum www.algebra.com is limited and does not include  Calculus,  is  INCORRECT.
        It  DOES  INCLUDE  Calculus,  too.

        We actively and professionally serve  Calculus,  too,  equally as other sections of  Math.

        Moreover,  I think that this site/forum makes it better than other possible forums as our competitors.

        So,  if you have questions related to  Calculus,  do not hesitate to post them to us.


///////////////////


Comment from student: Hello, Thank you SO much for not only helping with my question 1203157
but also for replying to my request about Calculus websites.
I was under the incorrect impression that this site doesn't help with Calculus because the site is divided
into different categories of Pre-Algebra, Algebra I, Algebra II, Geometry,Word Problems.
There isn't a designated section to post Calculus problems which led to my assumption.
Having said that, I am so glad that I can post here because this website has been a valuable support
in my son's math education. May I ask for your suggestion about which section might be the best place
to post my Calculus questions? For ex. I posted this under Word Problems.
Do you have any other suggestions? Very grateful for your support.


My response. At this forum, all the tutors see all incoming posts.
Any tutor may answer to any post, if he/she finds the subject of the post is
in his or her competence. Therefore, the section, where you submit your request,
actually, DOES NOT MATTER.