SOLUTION: Two straight wires are attached at a point 24 feet above the base of a vertical pole standing on level ground. One wire is 5 feet longer than the other and reaches a point on the g

Algebra ->  Customizable Word Problem Solvers  -> Misc -> SOLUTION: Two straight wires are attached at a point 24 feet above the base of a vertical pole standing on level ground. One wire is 5 feet longer than the other and reaches a point on the g      Log On

Ad: Over 600 Algebra Word Problems at edhelper.com


   



Question 1196592: Two straight wires are attached at a point 24 feet above the base of a vertical pole standing on level ground. One wire is 5 feet longer than the other and reaches a point on the ground 11 feet farther from the base. Find the length of each.
Answer by greenestamps(13200) About Me  (Show Source):
You can put this solution on YOUR website!


The given information defines a picture consisting of two right triangles sharing one leg of length 24 and with the other legs of lengths x and x+11; and the hypotenuse of the larger triangle is 5 longer than the hypotenuse of the smaller triangle.



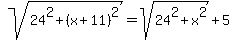
The requirement is that AC is 5 longer than AB:

sqrt%2824%5E2%2B%28x%2B11%29%5E2%29=sqrt%2824%5E2%2Bx%5E2%29%2B5

Solving that equation algebraically is ugly; using a graphing calculator would be much easier.

But since the numbers in the problem are whole numbers, we can guess the solution knowing something about Pythagorean Triples.

A relatively well-known Pythagorean Triple is 7-24-25. So if x is 7 and AB is 25, then x+11 is 18 and AC is 30; and 18-24-30 is also a Pythagorean Triple.

So, whether you solve the problem algebraically, or using a graphing calculator, or by logical trial and error, the lengths of the two wires are 25 feet and 30 feet.