SOLUTION: She is going to buy a scarf for $12.50 and some nail polish for $3. At the register she finds out that the scarf is 5% off. The store charges her a 9% tax. The sale price for

Algebra ->  Customizable Word Problem Solvers  -> Misc -> SOLUTION: She is going to buy a scarf for $12.50 and some nail polish for $3. At the register she finds out that the scarf is 5% off. The store charges her a 9% tax. The sale price for       Log On

Ad: Over 600 Algebra Word Problems at edhelper.com


   



Question 1150049: She is going to buy a scarf for $12.50 and some nail polish for $3. At the register she finds out that the scarf is 5% off. The store charges her a 9% tax.
The sale price for the scarf is $ . (do not round)
The subtotal (scarf and nail polish before tax) is $ . (do not round)
The total (including tax) is $ . (round to the nearest hundredth)

Answer by Mrinmoy(1) About Me  (Show Source):
You can put this solution on YOUR website!
Before going to the register:
Scarf price = $12.50
Nail polish price = $3
At the register:
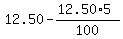
Since the scarf price is 5% off so the selling price of the scarf is:
= $ 12.50+-+%2812.50%2A5%29%2F100+
= $ +12.50+-+62.5%2F100+
= $ +12.50+-+0.625+
= $ 11.875
Hence:
Selling price of scarf is $11.875
The subtotal (scarf and nail polish before tax ) is $(11.875+3) or $14.875
Now:
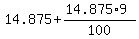
If 9% tax is applied on the subtotal then the total price including tax will be:
= $ +14.875+%2B+%2814.875%2A9%29%2F100
= $ +14.875+%2B+1.33875
= $ 16.21375
Hence:
The subtotal after applying tax is approximately $16.21