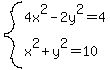
SOLUTION: I need help please [problem 9] Solve the following systems of equations [9a] 4x^2 - 2y^2 = 4 x^2 + y^2 = 10

Algebra ->  Customizable Word Problem Solvers  -> Misc -> SOLUTION: I need help please [problem 9] Solve the following systems of equations [9a] 4x^2 - 2y^2 = 4 x^2 + y^2 = 10       Log On

Ad: Over 600 Algebra Word Problems at edhelper.com


   



Question 1139408: I need help please
[problem 9]
Solve the following systems of equations
[9a] 4x^2 - 2y^2 = 4
x^2 + y^2 = 10

Answer by josgarithmetic(39630) About Me  (Show Source):
You can put this solution on YOUR website!
system%284x%5E2-2y%5E2=4%2Cx%5E2%2By%5E2=10%29

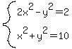
system%282x%5E2-y%5E2=2%2Cx%5E2%2By%5E2=10%29

ADD: 3x%5E2=12
x%5E2=4
system%28x=-2%2Cor%2Cx=2%29, and finding y should be fairly easy from here.