SOLUTION: Hello amazing tutors! May I please have help in solving this please? If you have time to list the steps, that would be awesome so I can study them for future problems like this.

Algebra ->  Customizable Word Problem Solvers  -> Misc -> SOLUTION: Hello amazing tutors! May I please have help in solving this please? If you have time to list the steps, that would be awesome so I can study them for future problems like this.       Log On

Ad: Over 600 Algebra Word Problems at edhelper.com


   



Question 1138797: Hello amazing tutors! May I please have help in solving this please? If you have time to list the steps, that would be awesome so I can study them for future problems like this. Thank you.
The maximum load of a horizontal beam that is supported at both ends varies directly as the width and the square of the height and inversely as the length between the supports.
A beam 6 m long, 0.1 m wide, and 0.06 m high supports a load of 360 kg.
What is the maximum load supported by a beam 16 m long, 0.2 m wide, and 0.08 m high?

Found 2 solutions by josgarithmetic, greenestamps:
Answer by josgarithmetic(39618) About Me  (Show Source):
You can put this solution on YOUR website!
----------------------------
The maximum load of
a horizontal beam that is supported at both ends varies directly as the width and the square of the height and inversely as the length between the supports.
----------------------------


L, the load, maximum
w, width
h, height
x, length between the supports
k, variation constant

highlight_green%28L=kwh%5E2%2Fx%29

When you have sufficient given information, you may substitute it to evaluate k.
k=Lx%2F%28wh%5E2%29

Answer by greenestamps(13200) About Me  (Show Source):
You can put this solution on YOUR website!


If you need a formula for the load, including the constant of variation, then you can do as the other tutor suggested: use the given information to find the constant of variation and then use the resulting formula with the new set of parameters.

But that's a lot of work when you are only asked to find the load for one different set of parameters. It is much easier just to consider how the maximum load is affected by each change in the given parameters.

The maximum load for the given parameters is 360kg.

(1) The old length of the beam was 6m; the new length is 16m. Since the maximum load varies inversely with the length of the beam, this change in length multiplies the maximum load by (6/16).

(2) The old width of the beam was 0.1m; the new width is 0.2m. Since the maximum load varies directly as the width of the beam, this change multiplies the maximum load by (0.2/0.1).

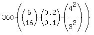
(3) The old height of the beam was 0.06m; the new height is 0.08m. Since the maximum load varies directly as the square of the height, this change multiplies the maximum load by ((4/3)^2)

The maximum load for the new beam is

360%28%286%2F16%29%280.2%2F0.1%29%284%5E2%2F3%5E2%29%29
360%28%286%2F16%29%282%29%2816%2F9%29%29
360%284%2F3%29+=+480

The maximum load of the new beam is 480kg.