SOLUTION: Given f(x)=|x| and g(x)=18/x^2+9, find the expressions. #1. (f o g)(4)= #2. (g o f)(2)= #3. (f o f)(1)= #4. (g o g)(0)= Note: Type an integer or a simp

Algebra ->  Customizable Word Problem Solvers  -> Misc -> SOLUTION: Given f(x)=|x| and g(x)=18/x^2+9, find the expressions. #1. (f o g)(4)= #2. (g o f)(2)= #3. (f o f)(1)= #4. (g o g)(0)= Note: Type an integer or a simp      Log On

Ad: Over 600 Algebra Word Problems at edhelper.com


   



Question 1131866: Given f(x)=|x| and g(x)=18/x^2+9, find the expressions.

#1. (f o g)(4)=
#2. (g o f)(2)=
#3. (f o f)(1)=
#4. (g o g)(0)=




Note: Type an integer or a simplified fraction.

Found 2 solutions by Edwin McCravy, MathLover1:
Answer by Edwin McCravy(20065) About Me  (Show Source):
You can put this solution on YOUR website!
Given f(x)=|x| and g(x)=18/x^2+9, find the expressions.
I won't use your numbers, but other numbers so that you can use them as
examples to go by:

Notice also that there is a HUGE difference between 18/x^2+9 and 18/(x^2+9).
If you don't put parentheses around x^2+9, then the +9 is NOT part of
the denominator.  If you want +9 to be part of the denominator, then
you MUST place the entire denominator within parentheses.  That is,

18/x^2+9 means matrix%281%2C3%2C18%2Fx%5E2%2C%22%22%2B%22%22%2C9%29 and 18/(x^2+9) means 18%2F%28x%5E2%2B9%29.

Which one did you mean for g(x)???? I will assume you meant the first one.
If no then do them using the second one, and remember to put parentheses
around entire denominators if the contain more than 1 number or 1 letter.

Edwin


#1. (f o g)(5)=
#2. (g o f)(3)=
#3. (f o f)(2)=
#4. (g o g)(4) =


Answer by MathLover1(20850) About Me  (Show Source):
You can put this solution on YOUR website!
Given
f%28x%29=abs%28x%29
g%28x%29=18%2F%28x%5E2%2B9%29
find the expressions:
#1. %28f+o+g%29%284%29=
%28f+o+g%29%28x%29=f%28g%28x%29%29
%28f+o+g%29%28x%29=f%2818%2F%28x%5E2%2B9%29%29
%28f+o+g%29%28x%29=abs%2818%2F%28x%5E2%2B9%29%29
%28f+o+g%29%28x%29=18%2Fabs%28x%5E2%2B9%29
then
%28f+o+g%29%284%29=18%2Fabs%284%5E2%2B9%29
%28f+o+g%29%284%29=18%2Fabs%2816%2B9%29
%28f+o+g%29%284%29=18%2Fabs%2825%29
%28f+o+g%29%284%29=18%2F5

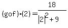
#2.+%28g+o+f%29%282%29=
%28g+o+f%29%28x%29=g%28abs%28x%29%29
%28g+o+f%29%28x%29=18%2F%28abs%28x%29%5E2%2B9%29
%28g+o+f%29%282%29=18%2F%28abs%282%29%5E2%2B9%29
%28g+o+f%29%282%29=18%2F%284%2B9%29
%28g+o+f%29%282%29=18%2F13


#3. %28f+o+f%29%281%29=

%28f+o+f%29%28x%29=f%28f%28x%29%29
%28f+o+f%29%28x%29=f%28abs%28x%29%29
%28f+o+f%29%28x%29=abs%28abs%28x%29%29
%28f+o+f%29%28x%29=abs%28x%29
=>
%28f+o+f%29%281%29=abs%281%29
%28f+o+f%29%281%29=1


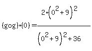
#4. %28g+o+g%29%280%29=

%28g+o+g%29%28x%29=g%28g%28x%29%29
%28g+o+g%29%28x%29=g%2818%2F%28x%5E2%2B9%29%29
%28g+o+g%29%28x%29=%2818%2F%28%2818%2F%28x%5E2%2B9%29%29%5E2%2B9%29%29
%28g+o+g%29%28x%29=%2818%2F%2818%5E2%2F%28x%5E2%2B9%29%5E2%2B9%29%29

%28g+o+g%29%28x%29=18%2F%28%2818%5E2%2B9%28x%5E2%2B9%29%5E2%29%2F%28x%5E2%2B9%29%5E2%29
%28g+o+g%29%28x%29=%2818%28x%5E2%2B9%29%5E2%29%2F%289%289%2A18%2B%28x%5E2%2B9%29%5E2%29%29

%28g+o+g%29%28x%29=%282%28x%5E2%2B9%29%5E2%29%2F%28%28x%5E2%2B9%29%5E2%2B36%29
=>
%28g+o+g%29%280%29=%282%280%5E2%2B9%29%5E2%29%2F%28%280%5E2%2B9%29%5E2%2B36%29
%28g+o+g%29%280%29=%282%289%29%5E2%29%2F%289%5E2%2B36%29
%28g+o+g%29%280%29=%282%2A%289%29%5E2%29%2F%2881%2B36%29
%28g+o+g%29%280%29=%282%2A%289%29%5E2%29%2F117
%28g+o+g%29%280%29=%282%2A%289%29%5E2%29%2F%289%2A13%29
%28g+o+g%29%280%29=%282%2A%289%29%5Ecross%282%29%29%2F%28cross%289%29%2A13%29
%28g+o+g%29%280%29=%282%2A9%29%2F13
%28g+o+g%29%280%29=18%2F13