SOLUTION: sara runs 4 times a week.her route is 2 1/4 miles long.how many miles does she run each week?
Algebra
->
Customizable Word Problem Solvers
->
Misc
-> SOLUTION: sara runs 4 times a week.her route is 2 1/4 miles long.how many miles does she run each week?
Log On
Ad:
Over 600 Algebra Word Problems at edhelper.com
Word Problems: Miscellaneous Word Problems
Word
Solvers
Solvers
Lessons
Lessons
Answers archive
Answers
Click here to see ALL problems on Miscellaneous Word Problems
Question 1099712
:
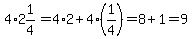
sara runs 4 times a week.her route is 2 1/4 miles long.how many miles does she run each week?
Answer by
Fombitz(32388)
(
Show Source
):
You can
put this solution on YOUR website!