SOLUTION: Karen is weighing different children’s blocks. Four red blocks and five blue blocks weigh 32 ounces. One red block and eight blue blocks weigh 35 ounces. What is the total weigh

Algebra ->  Customizable Word Problem Solvers  -> Misc -> SOLUTION: Karen is weighing different children’s blocks. Four red blocks and five blue blocks weigh 32 ounces. One red block and eight blue blocks weigh 35 ounces. What is the total weigh      Log On

Ad: Over 600 Algebra Word Problems at edhelper.com


   



Question 1081519: Karen is weighing different children’s blocks. Four red blocks and
five blue blocks weigh 32 ounces. One red block and eight blue
blocks weigh 35 ounces. What is the total weight of one red and
one blue block?

Answer by josgarithmetic(39618) About Me  (Show Source):
You can put this solution on YOUR website!
b, blue block weight
r, red block weight

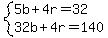
system%285b%2B4r=32%2C8b%2Br=35%29

system%285b%2B4r=32%2C32b%2B4r=140%29

27b=108

b=4
-
r=35-8b
r=35-8%2A4
r=35-32
r=3
-


highlight%28b%2Br=highlight%287%29%29