SOLUTION: Find three consecutive natural numbers such that the square of the smallest number is 65 less than the product of the remaining two numbers.
Algebra ->
Customizable Word Problem Solvers
-> Misc
-> SOLUTION: Find three consecutive natural numbers such that the square of the smallest number is 65 less than the product of the remaining two numbers.
Log On
Question 1061060: Find three consecutive natural numbers such that the square of the smallest number is 65 less than the product of the remaining two numbers. Answer by Fombitz(32388) (Show Source):
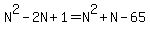
You can put this solution on YOUR website! Let the three numbers be N-1, N, and N+1.
So the numbers are 21,22, and 23.
Verifying,
True, good solution.