SOLUTION: Did I do this question correctly? This is related to applied statistics. Click or copy and paste the link to your URL. https://app.box.com/s/y0edgre1lgb7eyubb30rr0go2hbfe7x8

Algebra ->  Customizable Word Problem Solvers  -> Misc -> SOLUTION: Did I do this question correctly? This is related to applied statistics. Click or copy and paste the link to your URL. https://app.box.com/s/y0edgre1lgb7eyubb30rr0go2hbfe7x8      Log On

Ad: Over 600 Algebra Word Problems at edhelper.com


   



Question 1020529: Did I do this question correctly? This is related to applied statistics. Click or copy and paste the link to your URL.
https://app.box.com/s/y0edgre1lgb7eyubb30rr0go2hbfe7x8

Answer by robertb(5830) About Me  (Show Source):
You can put this solution on YOUR website!
You have to be careful about setting the function of which you will get the expectation, or the average amount.
We know that the r.v. Y = the amount of kerosene, in thousands of liters, in tank, at the start of the day, and
the r.v. X = thousands of liters sold during the day.
==> the function representing the amount of kerosene left in the tank at the end of the day is y-x. (Assuming no replenishment during the day.)
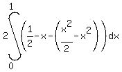
==> The average amount of kerosene = int%28int%282%28y-x%29%2C+dy%2Cx%2C1%29%2C+dx%2C0%2C1%29
=2int%28int%28%28y-x%29%2C+dy%2Cx%2C1%29%2C+dx%2C0%2C1%29
=2int%28%28y%5E2%2F2+-+xy%29%5Bx%5D%5E1%2C+dx%2C0%2C1%29
=2int%28%281%2F2-x-%28x%5E2%2F2+-+x%5E2%29%29%2C+dx%2C0%2C1%29
=2int%28%28x%5E2%2F2+-+x%2B1%2F2%29%2C+dx%2C0%2C1%29
=2%28x%5E3%2F6+-x%5E2%2F2+%2B+x%2F2%29%5B0%5D%5E1
=2%2A%281%2F6%29
=1/3 (in thousand liters)
Therefore the average amount of kerosene left in the tank at the end of the day is 1000/3 liters, or 333%261%2F3 liters.